Mathews Journal of Nursing and Health Care

2692-8469

Previous Issues Volume 6, Issue 1 - 2024

Use of Virtual Environments and Academic Behaviors Related to Stress in Nursing Students of the Faculty of Medical Sciences Unan-león III Quarters 2022

Lester Fidel García1, Pablo Espinoza Palma2,*, Katherine de los Ángeles Hernández3, Allison Mercedes Larios Gonzales3

1Nurse Teacher, Department of Nursing, Faculty of Medical Sciences UNAN–León, Master in Mental Health and Additions CIDS-UNAN León, Specialist in UHK oral and anthropological research, Nicaragua

2Bachelor of Nursing, Department of Nursing, Faculty of Medical Sciences UNAN–León, Member of the Nursing Research and Development Committee, Nicaragua

3Undergraduate students of the Bachelor of Nursing Sciences, Nursing Department of the Faculty of Medical Sciences, UNAN-León, Nicaragua

*Corresponding author: Pablo Espinoza Palm, Bachelor of Nursing, Department of Nursing, Faculty of Medical Sciences UNAN–León. Member of the Nursing Research and Development Committee, Nicaragua, Tel: 84625312; ORCID: 0009-0004-6751-1689; Email: [email protected].

Received Date: December 12, 2023

Published Date: January 02, 2024

Citation: García LF, et al. (2023). Use of Virtual Environments and Academic Behaviors Related to Stress in Nursing Students of the Faculty of Medical Sciences Unan-león III Quarters 2022. Mathews J Nurs. 6(1):36.

Copyrights: García LF, et al. © (2023).

SUMMARY

Currently, the main problem that high levels of academic demand generate high levels of stress in students, our research provides an outlet for our (SDG) 3 Guarantee health and well-being. This study is a nested analytical type of cases and controls because it aims to make the relationships that exist between the use of virtual classrooms and the academic behaviors that students with Stress Development have, it had a sample of 228 students with 114 were cases and 114 controls, where dichotomous questions and multiple selection were used to establish this analysis. In addition, a comparison was made of a group of nursing students from the Faculty of Medical Sciences who tested positive for the Psychometric validation of the PSS 14 stress scale. The sociodemographic data identified that the majority of the students who participated were more than 79.4% female than male with the following years being: first and second year, where 54.4% were urban and the largest population of students. They have internal scholarship status since they come from distant areas. In relation to the use of environments, the frequent completion of virtual tasks per week was 1.9 times the probability of developing stress, in addition the use of virtual platforms behaved as a protective factor with 0.8 times the probability of developing stress. It was found that the management of virtuality generates stress 1.2 times due to their management, in comparison to the relationship of the implemented strategies, a protective factor of 0.9 was found minus the probability of developing stress adapting to the implemented strategies. This shows that although they use them, they are concerned about their mastery, mainly in the first years of admission. It is concluded that our population despite using virtual platforms. Difficulties in management are evident, fundamentally the first years are difficult due to the initial contact with virtuality. It is vitally important to promote workshops in the use of virtual environments to avoid generating stressful situations in the student population.

Keywords: Stress, Use of Virtual Environments, Academic Behaviors.

INTRODUCTION

Academic stress is cognitive and affective processes that affect students in their tasks in the academic context. It is a systemic and adaptive process that occurs when students detect a series of demands that are perceived as stressors [1].

At the national level In Nicaragua, the development of technological tools offers multiple possibilities for improving teaching processes, which would help university environments to improve communication, motivation and learning in students. In the specific case of face-to-face education, teachers through the application have great help for knowledge management by being able to administer and monitor learning processes [2].

At the departmental level in Managua, the University hosted the First Departmental Congress on Educational Technologies and Connectivity for More Quality, which was coordinated by the Ministry of Education (MINED), the National Technological Institute (INATEC) and UNAN-Managua, with the objective of promoting the use and implementation of technologies in the classroom as a pedagogical tool [3].

In 2015, García, in his research “Analysis of the use of virtual classrooms as support for face-to-face training in the Sound Engineering Program, at the University of San Buenaventura, Bogotá”, concluded that the use of virtual classrooms by teachers are scarce. The data corroborate the poor adaptation of virtual classrooms by teachers. Among the factors that limit the use of a virtual environment are: lack of preparation and technique on the platform [4].

In 2016, Chacón, T. & Díaz, G. stated that the main sources of stress in students are associated with academic, psychosocial and economic events, with academic factors being the ones that stand out in the face of the problem due to the overload in the study plans, by the number of activities to be carried out.

In the year 2020 U-Report carried out by UNICEF, on a sample of 656 adolescent and young students in Bolivia, four out of ten would not be taking classes through any internet platform, which would be worse in rural areas where there is less economic income and possibilities of internet access, especially due to the high costs of connectivity. Those who do connect, however, do so via cell phone (77.5%) and only 19.5% via computer [5].

Currently, the main problem is that high levels of academic demand generate high levels of stress in students, a fact that can sometimes lead them to drop out of university. While it is true, academic stress, well managed, serves as a stimulus to carry out activities or solve problems that require a high level of competence; Poorly managed, it can create a big problem for the student that will not only harm their academic life but also their physical and psychological health [6].

Virtual education uses methodologies such as e-learning, since university students do not yet have a real and significant participation in the professional training process, because there is no direct interaction with teachers and other factors that contribute to their professional growth and personal, which defines what needs to be restructured in the didactic-pedagogical programming that is currently used in virtual environments.

Within educational contexts there has been a permanent interest in understanding the cognitive and behavioral factors that favor or hinder student performance in their academic tasks and how this is related to their integral development. For this reason we ask ourselves the following question:

What is the relationship between the use of virtual environments, academic behaviors and the development of stress in Unan-león students of the Faculty of Medical Sciences in the third quarters of 2022?

METHODOLOGICAL DESIGN

Type of study: The study will be analytical of nested cases and controls. This study is an analytical type because it aims to make the relationships that exist between the use of virtual classrooms and the academic behaviors that students with stress development have. To establish this analysis, it will be a comparison of a group of nursing students from the Faculty of Sciences. Doctors who test positive for stress level PSS 14, compared to a group of students who are without stress.

Study area: The study will be carried out at the UNAN-LEON medical sciences faculty, which was founded in the year 1812, which has its Comándate Carlos Fonseca Amador medical campus, which has courses in different modality: regular, Saturday, Sunday, evening, UNICAM (University in the countryside).

The access characteristics: the university has a Wi-Fi network that allows free navigation for teachers and students, which enables the ability to master the management of virtual classrooms. Attend shift: Morning, receive class in the conference room of the auditorium, they have internet access between classes or work activities, it has a medical skills laboratory, a computer laboratory, libraries, workshops, a bookstore, and photocopiers.

Universe: They corresponded to the population of first- and second-year nursing students at the Faculty of Medical Sciences UNAN-LEON According to data recorded in Unan-león.

Sample From the universe, the size of the specific sample was calculated for the subsequent application of the instrument, using and classifying the student according to the PSS 14 Psychometric Stress Validation Scale in young nursing students.

The sample was made up of 228 students of different ages, enrolled in the University student of the Faculty of Medical Sciences UNAN-LEON, part of which were found in a state of stress.

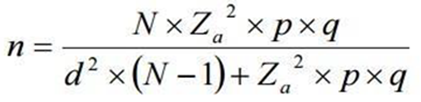
Sample From the universe, the specific sample size was calculated for the subsequent application of the instrument, using Fisher Schneider's formula as follows:

N: 558

Z2 : (1.96)2

p:0.5 q: 1 - 0.5

d2 : (0.05)

Sampling

The research was carried out with a non-probabilistic convenience sampling procedure, since university students were selected from the population and they agreed to participate in the study as a fundamental criterion for the study.

Inclusion criteria

Cases

  • Students who encountered stress through the PSS14 test.
  • Active university students of the nursing career first and second year UNAN León
  • Students who have active enrollment for the year 2022 in those respective years
  • Of both sexes
  • Students of all ages
  • Who wish to participate in the study

Controls

  • University students who did not encounter academic stress
  • Active students of the Nursing career first and second year UNAN-LEON
  • active registrations for the year 2022
  • Students of all ages.
  • Of both sexes
  • Who wish to participate in the study

Definition of comparison groups

  • Students who, according to the PSS14 test, had a score higher than 28 points on the perceived stress scale.
  • Students who obtained a score less than or equal to 28 points on the PSS14 test, which measures the level of perceived stress.

Information collection method

To collect the information, it was carried out through the survey method, the Faculty of Medical Sciences was attended and a permit for the study was requested from the authorities of the School of Nursing, UNAN-León, in order to work with our research study with first and second year Nursing students. It was coordinated with the different teachers to approach the students according to the active days and hours of in-person classes, to carry out the survey or at least to explain the procedure, since it was online. The students were informed of the objective of the research, as well as the reason and decision for launching a survey in this modality (online).

Before applying the instrument, guidance will be provided on how to answer the questionnaire.

Data collection techniques and instruments

Data collection was carried out using the questionnaire technique that consisted of a form of closed questions with dichotomous answers, and with the Likert scale previously developed with a multiple selection scale that was transformed into dichotomous and validated by authors of the study, as A questionnaire was given to each university student where the responses of stress management were selected according to the indicators of the following variables: sociodemographic data, use of virtual environment and academic behaviors.

The PSS14 test technique that contains 14 items, this perceived stress scale is an instrument also called Perceived Stress Scale (PSS) in its Spanish version adapted by Dr. Eduardo Remor (Spain, 2006), was used to assess the behavior of the person about aspects of feelings, thoughts and activities during the last month, including the day of the test. This scale is a self-report instrument that evaluates the level of perceived stress during the last month, it consists of 14 items with a response format of a five-point scale (0 = 5 never, 1 = 4 almost never, 2 = 3 occasionally, 3 =2 often, 4 =1 very often). The total score of the PSS14 is obtained by reversing the scores of items 4, 5, 6, 7, 9, 10 and 13 (in the following sense: 0=4, 1=3, 2=2, 3=1 and 4 =0) and then adding the 14 items. It gives scores between 0 and 56, where 28 was taken as the highest rule in the score corresponding to a student with stress.

Field test of instruments

A pilot test will be applied to 30 students from the Faculty of Sciences and Technology UNAN-LEON corresponding to 10% of the sample, they met similar characteristics to the population under study, with the purpose of verifying the veracity, reliability and viability of the instrument and improvement was made. To the questions it was done in a different place than the study so as not to contaminate the sample and therefore avoid bias in the information.

The students who apply the field test will be those who give stress to the test and also those who do not give stress as a criterion.

Information processing and analysis

The information was processed in Microsoft Excel, in the statistical program SPSS version 21 and Microsoft Word. The analysis of the information was carried out through analytical statistics, frequency tables and using 2x2 contingency tables to demonstrate the association of the variables with the cases and controls; The Chi square statistical test (X2) was used, when X2 is less than 0.05 there is an association of variables, when X2 is greater the variables are independent of each other.

The Odds Ratio test, odds ratio or was used to calculate the risk that a variable takes, an OR less than 1 indicates a protective factor, while an OR greater than 1 indicates a risk factor, if the OR is equal. At 1 the variable has no relationship.

The analysis is will perform with a 95% confidence interval, for which the natural limits (lower and upper) were used to determine statistical significance, the variables that contained the unit were not decisive for the study. In the variables where confounding factors were found, the estimated OR of Mantel and Haenszelt was used, after carrying out the homogeneity test where data greater than 0.05 were taken so as not to reject the null hypothesis.

The information obtained was presented through tables to facilitate the understanding of the results.

Ethical aspects according to the Helsinki Treaty: Beneficence, Informed consent, Autonomy, Anonymity, Confidentiality.

RESULTS

The investigation of the use of virtual environments and academic behavior related to stress in UNAN-LEON students of the Nursing career in the III quarter of 2022 had a population of 228 students with a mode of 18, the majority of the students were of the first-year degree with 57.6%, second year with 43.4% of the degree, 99.6 have a mobile device, female 79.4% and male 20.6% in urban origin 54.4% and single 92.1%.

Regarding the level of stress that Nursing students face in their virtual classes: 50% present mild stress, 21.49% develop moderate stress and 28.51% develop severe stress in these students (Table 1).

Table 1. Sociodemographic data of the study population

Sociodemographic data

Absolute frequency

%

 

Year of study

 

First year

134

57.6

Second year

94

43.4

Has a mobile device

 

Yeah

227

99.6

No

1

0.4

Mobile device app(smart

Yeah

187

82

No

41

18

What device does it occupy?

 

table

39

17.1

Cell phone

177

77.6

Computer

12

5.3

Age

Fashion

18

 

Half

21.06

 

 

sex

Female

181

79.4

Male

47

20.6

 

Origin

 

Urban

124

54.4

Rural

104

45.6

 

Civil status

Single

210

92.1

Married

18

7.9

Classification of Stress Level in university students of the Nursing career according to the PSS 14 Psychometric Validation Test to determine stress in students.

Virtual environments in relation to the stress of 1st and 2nd year nursing students

When asked about the frequency of the virtual environment on said platform, 96 of the students presented stress, having an OR of 0.747 (P: 0.582) (95% CI: 0.352-1.585). About the Microsoft Teams platform, 43 of the students developed the disease with an OR of 1.000 (P: 0.000) (95% CI: 0.585-1.708). On the Microsoft Moodle platform, 46 of the students presented stress with an OR of 0.897 (P: 0.162) (95% CI: 0.530-1.520). The frequency of homework per week 102 students presented stress with an OR 1.919 (P: 2.870) (95% CI: 0.895-4.116), the result of their homework grade 48 students have stress with an OR of 1.195 (P: 0.444) (95% CI: 0.708-2.016) (Table 2).

Table 2. Virtual environments in relation to the stress of nursing students

 

Stress in students

Total

X2: (P)

OR

CI: 95%

Yeah

No

 

 

 

Frequency of the virtual environment on the Google Meet platform

0.582

0.747

(0.352-1.585)

Yeah

96

100

196

No

18

14

32

Microsoft Teams platform

0.000

1,000

(0.585-1.708)

Yeah

43

43

86

No

71

71

142

Microsoft Moodle Platform

0.162

0.897

(0.530-1.520)

Yeah

46

49

95

No

68

65

133

Frequency of homework per week

2,870

1919

(0.895-4.116)

Yeah

102

93

195

No

12

twenty-one

33

Your assignment grading result

0.444

1,195

(0.708-2.016)

Yeah

48

53

101

No

66

61

127

Virtual environments in relation to stress in nursing students

About the difficulty in connecting to teams 55 that very frequently present difficulty in connecting to teams with an OR of 1.15 (P: 0.282) (95% CI: 0.68-1.93), 61 of the students present difficulty in connecting to Moodle with an OR of 1.27 (P:0.860) (95% CI: 0.76-2.15) based on the frequency that if they had used a virtual environment, 54 of the students used it very frequently with an OR 0.755 (P:1.123) (95% CI: 0.44-1.27), 34 of the students present high difficulty in the level of experience with an OR of 2.786 (P: 0.720) (95% CI: 0.45-1.37), 64 of the students present difficulty when connecting on the virtual platform with a OR of 0.719 (P: 1.481) (95% CI: 0.42-1.22),69 student presents difficulty in mastering the virtual platform with OR of 1.268 (P: 0.879) (95% CI: 0.76-2.17 (Table 3).

Table 3. Virtual environments in relation to the stress of 1st and 2nd year nursing students UNAN-LEON

Difficulty connecting to teams

Stress in students

Total

X2: (P)

OR

CI: 95%

Yeah

No

0.282

1,152

(0.68-1.93)

Yeah

55

51

106

No

59

63

122

Difficulty connecting to Moodle

0.860

1,279

(0.76-2.15)

Yeah

61

54

115

No

53

60

113

Frequency if they had used virtual environments

1,123

0.755

(0.44-1.27)

Yeah

54

62

116

No

60

52

112

Level of Experience

0.720

2,786

(0.45-1.37)

Yeah

3. 4

40

74

No

80

74

154

Difficulty on the virtual platform

1,481

0.719

(0.42-1.22)

Yeah

64

73

137

No

fifty

41

91

Mastery of the virtual platform

0.879

1,268

(0.76-2.17)

Yeah

69

62

131

No

Four. Five

52

97

Academic behavior in relation to stress of nursing students

The result of the evaluations, 69 of the students presented stress with an OR of 0.930 (P:0.073) (95% CI: 0.548-1.78) 59 of the students do not feel satisfied with the grades achieved with an OR of 1.152 (P: 0.282) (95%CI:0.6-1.93), 40 of the students agree between the virtual and face-to-face component with an OR of 0.668 (P: 2.213) (95%CI:0.39-1.13), 70 of the students present a poor evaluation of the learning acquired in said virtual platform with an OR of 1.03 (P:0.019) (95% CI: 0.60-1.77), in virtual activities 75 of the students do not see the use of virtual platforms as very good with an OR of 1 (P: 0.000) (95%CI:0.57-1.72) (Table 4).

Table 4. Academic behavior in relation to stress of nursing students

Evaluation result

Stress in students

Total

X2 : (P)

OR

CI: 95%

Yeah

No

0.073

0.930

(0.548-1.78)

Bad

69

67

136

Well

37

32

69

Student satisfaction level

0.282

1,152

(0.6-1.93)

Not satisfied

59

63

122

Satisfied

55

51

106

Coincidence between virtual and in-person components

2,213

0.668

(0.39-1.13)

Always

40

51

91

Not always

74

63

137

Evaluation of acquired learning

0.019

1.03

(0.60-1.77)

Bad

70

71

141

Well

44

43

87

Virtual activities

0.000

1

(0.57-1.72)

Not very good

75

75

150

Very good

39

39

78

DISCUSSION

Sociodemographic data

In relation to the sociodemographic data of the studied population, it is observed that stress in university students occurs mostly at the age of 18 and its mode is 18, the female sex is predominant, the majority of the population was concentrated in the first year, in Most of them are single and of urban origin, the majority have a cell phone device. This is related to what Lizano Maritza expresses that the virtual environment must be used appropriately by students and with respect to related literature that indicates that the results of the use of virtual spaces are not focused on the generation of knowledge, the student can reach perform without having pressure in this way the student can adequately develop their skills without any stress (Table 1).

By measuring the relationship between origin and the development of stress in university students. No association of variables was found, and its OR value is a protective factor of 0.93 statistical significance. Suarez Rivero José affirms that the distance education modality has experienced a significant increase in recent years in terms of degrees and training courses offered, becoming an option seriously considered by a progressive number of institutions, especially universities. This could affect the student in the area where he lives because the urban area does not have an adequate signal (Table 1).

When measuring the relationship between the Google Meet virtual platform and the development of stress, there is no variable association, it is not a risk factor that reduces the probability of developing the disease by 0.7 times and its natural limits were not shown to have statistical significance. Mendoza Leticia Stress is generated over time, due to the different tensions that individuals experience and which they face daily, which is why we are all exposed to new scenarios and environments. This leads to the student later experiencing stress due to said virtual platform (Table 2).

When measuring the relationship between the Microsoft Teams virtual platform and the development of stress, a variable association was found, its data reflecting equal probability of suffering from the disease or not and providing natural limits that there is no statistical significance. Llesquen Guadalupe affirms that to motivate students to continue participating in each of the learning sessions, improving communication, it integrates Apps to carry out instant conversations, actively share content, tasks, documents and applications. It has what is necessary to create work teams, participate in file sharing, and provide online classes (Table 2).

When measuring the relationship between the Moodle virtual platform variable and the development of stress, it was found that there is no variable association, being a non-risk factor that decreases up to 0.89 times if the disease is not developed and its natural limits that no statistical significance was demonstrated. Valenzuela Barbara which raises the idea that knowledge is constructed by the student based on their active participation in the process and in relation to their social environment. Allows you to control and evaluate the learning of each student and track their progress (Table 2).

The measurement between the classroom platform in relation to virtual environments and the development of stress showed that there is no association of variable, present with a non-risk factor that decreases to 0.97 times of not developing stress, on the other hand there is no statistical significance in the natural limits. This allows us to verify by Lizano Maritza that the virtual learning environment. The use of virtual spaces should necessarily be established because they are not taking advantage of the technological and pedagogical advantages. In this situation it could be said that the student may experience stress at the time of these changes (Table 2).

On the other hand, the relationship of the frequency they leave per week by virtual component in university students was measured and the development of stress provided a result that did not offer variable association, it is a risk factor that increases the probability of developing stress by 1.9 and with natural limits that there is no statistical significance of said students surveyed. This data failed to demonstrate evidence of what Martin Dougiamas said. Where he raises the idea that knowledge is constructed by the student based on his active participation in the process and in relation to his social environment. Allows you to control and evaluate the learning of each student and track their progress (Table 2).

When analyzing the relationship that students have obtained most frequently in their homework grade and the development of stress, it was found that there is no association of said variable, presenting a risk factor that increases the probability of developing the disease by 1.20 times. Its natural limits that no statistical significance was demonstrated. This is what Sarubi de Rearte states that some of the causes that can cause stress are: Tasks, jobs, exams, meetings, interviews, commitments, outings with friends, are events that a university student constantly carries out throughout his or her process (Table 2).

When measuring the relationship between the difficulty students have in connecting to Microsoft Teams and the virtual platform and the development of stress, no variable association was found, with a risk factor that increases up to 1.15 times of suffering from stress and its natural limits that no statistical significance was demonstrated. Suares Rivero affirms that there are several reasons why students make this choice. Among them, the adaptation of the distance education modality to the situation of many of these students stands out especially due, for example, to their need to make their work and family activities compatible with their training, and the possibility of developing it at home, reason often originating from the distance from study centers. This means that the student who cannot correctly handle the virtual platform or know its proper use leads to the student eventually experiencing stress (Table 3).

When measuring the relationship between the variable of the difficulty they have in connecting to Moodle to virtual platforms in students and the development of stress, it was found that there is no association between the variable presenting a risk factor that increased to 1.27 without statistical significance. Palma borbo Karen According to the World Health Organization (WHO), stress is defined as a series of physiological reactions, the same ones that prepare the body to act. In this way, the student will always be in constant stress due to academic demands (Table 3).

When analyzing the relationship between the level of experience and the development of stress, it was found that there is no association of the variable with a non-risk factor that decreases to 0.78 if the disease is not present, without statistical significance. Figueroa Luis affirms the educational model of the Virtual Campus, its objective is to allow the acquisition of particular content and the development of new knowledge, based on the improvement of skills by students. In such a way that the students did not present stress since they adequately acquired the necessary experiences (Table 3).

When measuring the relationship between the greatest difficulty on the virtual platform and the development of stress, it was found that there is no association of variable, a non-risk factor that has decreased up to 0.71 times of not suffering from the disease, presenting natural limits that do not have statistical significance. Suarez Rivero José affirms that students give a more practical nature to the learning to be carried out, because many of them carry out a work activity linked to the studies they are developing, aspects that greatly favor their intrinsic motivation. However, these same characteristics also require greater self-regulatory activity, responsibility and commitment from the student regarding their components (Table 3).

On the other hand, the relationship between the mastery of the virtual platform and the development of stress was measured. It was obtained that there is no association of the variable with a risk factor that increased up to 1.26 times of suffering from the disease without statistical significance. Torres Liliam affirms that the best resource for learning will depend on the proposed objectives, the teaching methods used, and the teaching organizational form to be used, the possibilities and limitations, the level of the audience, the number of students and the mastery of the teacher., the latter understood as their level of knowledge, professional experience and mastery of psycho-pedagogical and communication elements. Knowing the relationship between the mastery of the platform and the students, they could not obtain the appropriate way to manage either Moodle or teams. In this way, they generated stress due to the increase in the virtual component (Table 3).

In relation to the degree of satisfaction that the student has and the development of stress, no association of variable with risk factor was found that increases up to 1.15 times of developing the disease, but it is not statistically significant. Leaño Uzeta Viviana, support alternatives must be proposed in order to identify unmet needs in students. Concerned about the performance of its students, it has designed the Student Support Program (PAE) as an alternative to support those who have academic difficulties that put their academic performance at risk (Table 4).

On the other hand, when measuring the relationship between the virtual and in-person components, it was found that there is no association between variables and a protective factor that reduces the probability of developing the disease by up to 0.66 times, presenting natural limits without statistical significance. Blanco Sahara affirms that the components that are declared to make up the task as a didactic unit have points of coincidence since when it is indicated, except for certain specific elements for certain teaching-learning contexts. When the student experiences component shock, that is, both in-person and virtual, they can develop stress at any time during the course of their academic studies (Table 4).

Regarding the relationship between how the student evaluates the strategy implemented by the university and the development of stress, there is no association of variable and a protective factor that decreases up to 0.92 times if not suffering from the disease without statistical significance. White Humberto affirms that new university entrants, in general, tend to feel less effective, with less need and the possibility of being more self-effective with regard to the communication factor, this in terms of expressing ideas clearly, making comments and pertinent contributions, in case of disagreement being able to establish a dialogue with the teachers (Table 4).

Regarding the relationship between how the acquired learning and the development of stress are evaluated, it was found that there is no association between the variable and the risk factor that increases up to 1.03 times of presenting the disease, but it is not a statistically significant fact. Rodríguez Antonio affirms that the characteristics and functionality will be the same as in face-to-face contexts. At the same time, the network allows students to develop individual, group and collaborative activities, and interact in a multimedia environment. From my point of view, online classes affect the student due to the lack of connectivity and also the teacher (Table 4).

When measuring the relationship between virtual activities and stress, a perfect variable association was obtained and its data reflects equal probability of suffering from the disease or not, with natural limits of not having statistical significance. Alvarado Luis states that the evaluation is carried out on a selective basis to answer certain questions and provide guidance to decision makers and program administrators, as well as to obtain information that allows determining whether the theories that were used in the program were valid (Table 4) [7-10].

CONCLUSION

The study, carried out with a sample of 228 participants, of which 114 were cases and 114 controls, among university students it occurs mostly at the age of 18 and its mode is 18, the female sex predominates, the largest of the population is concentrated in first year, Within the sociodemographic data of the study, the following protective factor was found:

When measuring the relationship between scholarship status and the development of stress in university students, no association of variables was found, it behaved as a protective factor and its value is 0.85 times the probability of contracting stress without demonstrating statistical significance.

Use of virtual environments related to stress in Unan-león university students of the Faculty of Medical Sciences in the third quarters of 2022

In relation to the use of environments and the completion of tasks per week, there was 1.9 times the probability of developing stress, and it also acted as a protective factor of 0.6 less than what they possessed those types of tools.

When measuring the relationship between the difficulty students have in connecting to Microsoft Teams and the virtual platform and the development of stress, no variable association was found, with a risk factor that increases up to 1.15 times of suffering from stress and its natural limits that no statistical significance was demonstrated.

Academic behavior related to stress in Unan-león university students of the Faculty of Medical Sciences in the third quarters of 2022

Through the relationship of how the learning acquired from the development of stress was evaluated, it was proven that there is no association of the variable with a risk factor that increased 1.03 times of developing the disease, but it is not a statistically significant fact.

It was found in the management of virtual environments with a 1.2 times greater probability of developing stress than those who manage the virtual environment more, in comparison to the relationship of the implemented strategies, a protective factor of 0.9 less the probability of developing stress was found.

SAW recommendations

Addressed to the authority of the León 2022 medical sciences faculty

Continue implementing sessions on how to learn to develop the use of virtual environments to improve their academic performance.

Promote the purpose and objectives of these programs appropriately to improve processes and methodologies in professionals and students.

Teachers

Organize more conferences to benefit from feedback on their activities in the virtual environment (EVA) without affecting their work as students in their face-to-face classes.

Reduce virtual hours and implement more evaluative activities so that their stress decreases and they have more concentration on each component.

Motivate you to improve and apply your classes more, both in person and virtually.

Future researchers

Future researchers who carry out the study based on the use of virtual environments and academic behaviors related to stress implement more new methodologies for good teaching and learning to students.

CONFLICT OF INTEREST

I declare that the authors have no conflict of interest.

REFERENCES

  1. Valdivieso-León L, Mangas SL, Tous-Pallarés J, Espinoza-Díaz IM. (2019). Estrategias de afrontamiento del estrés académico universitario: educación infantil-primaria. Educación XX1. 23(2):165-186.
  2. Fandiño Sotelo MI, Henríquez Camargo NM, Rivera Benavidez DE, et al. (2018). Level of stress and anxiety of nursing students in clinical practice at the San Gil University Foundation. Available at: https://repository.unab.edu.co/handle/20.500.12749/12423
  3. Valdivia et al. (2019). Intervening Factors and the Use of Tools in the Virtual Classroom by Teachers of the Private University of Tacna. Available at: http://repositorio.upt.edu.pe/handle/UPT/1279
  4. National University of Costa Rica, Center for Research and Teaching in Education. Available at: https://www.scielo.sa.cr/scielo.php?pid=S140942582018000100020&script=sci_arttext
  5. UNAN-Managua newsletter. Available at: https://www.unan.edu.ni/wpcontent/uploads/2019/03/boletin_informativo_uan_managua_no.2.pdf
  6. The 2030 agenda and the sustainable development goals an opportunity for Latin America and the Caribbean. Available at: https://repositorio.cepal.org/bitstream/handle/11362/40155/24/S1801141_es.pdf
  7. Characterization of virtual teaching-learning environments (EVEA) (2015) in virtual education. Available at: https://www.redalyc.org/pdf/1815/181542152006.pdf
  8. Arieto G. (2017). The use of virtual platforms and their impact on the learning process in the subjects of the Criminology and Police Sciences careers, at the State Distance University of Costa Rica. Available at: https://www.scielo.sa.cr/scielo.php?pid=S140942582018000100020&script=sci_ arttext.
  9. María Gabriela, et al. (2019). “Standardization of the sisco academic stress inventory in students. Available at: http://repositorio.autonoma.edu.pe/bitstream/AUTONOMA/417/3/TESIS%20-%20MARIA%20JABEL.pdf
  10. Perceived Self-Efficacy in the Academic Behavior of University Students. Available at: https://scielo.conicyt.cl/scielo.php?pid=S0718-50062012000200003&script=sci_arttext&tlng=p

Creative Commons License

© 2015 Mathews Open Access Journals. All Rights Reserved.

Open Access by Mathews Open Access Journals is licensed under a
Creative Commons Attribution 4.0 International License.
Based On a Work at Mathewsopenaccess.com