Mathews Journal of Cytology and Histology

2577-4158

Previous Issues Volume 9, Issue 1 - 2025

Unraveling Thrombocytopenia, A Study of Platelets Indices in Varied Etiologies

Waqas Saifullah Khan1, Shahan ur Rabi2, Raza Rabbani3, Dawood Khan4, Muhammad Haseeb khan5, Shehryar Khan6, Elham Shakil7, Avijit Debnath8, Zulfiqar Ahmad9, Naveed Ahmad10, Ubaidullah Shah11, Furqan Ul Haq12,*

1,2,3,6,7,9,10Peshawar Medical and Dental College, Peshawar, Pakistan

4Jalalabad Ragib Rabeya Medical College, Bangladesh

5Internal Medicine department, Hayatabad Medical complex, Peshawar, Pakistan

8Internal Medicine department, Mardan Medical Complex, Mardan, Pakistan

12Radiation Oncology Department, Shifa International Hospital Islamabad, Pakistan

*Corresponding author: Dr Furqan Ul Haq, Radiation Oncology Shifa International Hospital Limited, Islamabad, Pakistan, Tel: +923440971512, Email: [email protected]

Received Date: March 11, 2025

Published Date: March 28, 2025

Citation: Khan WS, et al. (2025). Unraveling Thrombocytopenia, A Study of Platelets Indices in Varied Etiologies. Mathews J Cytol Histol. 9(1):31.

Copyrights: Khan WS, et al. © (2025).

ABSTRACT

Background: Thrombocytopenia, characterized by a reduced platelet count, is a common hematological abnormality with diverse underlying causes, broadly classified into hypo-productive and hyper-destructive mechanisms. Platelet indices, including Platelet Distribution Width (PDW), Mean Platelet Volume (MPV), and Platelet Large Cell Ratio (PLCR), provide valuable insights into the pathophysiology of thrombocytopenia and may help differentiate its etiology. Introduction: Thrombocytopenia, a hematological condition defined by a reduced platelet count, arises from varied etiologies, broadly categorized into hypo-productive and hyper-destructive mechanisms. Differentiating between these causes is crucial for appropriate diagnosis and management. Platelet indices such as Platelet Distribution Width (PDW), Mean Platelet Volume (MPV), and Platelet Large Cell Ratio (PLCR) serve as potential biomarkers to distinguish between these underlying mechanisms. Aim of the study: This study aims to analyze platelet indices in thrombocytopenic patients and correlate them with bone marrow biopsy findings to enhance diagnostic precision in evaluating thrombocytopenia. Objectives: 1. To evaluate platelet indices, including Platelet Distribution Width (PDW), Mean Platelet Volume (MPV), and Platelet Large Cell Ratio (PLCR), in thrombocytopenic patients to differentiate between hypo-productive and hyper-destructive etiologies. 2. By correlating these indices with bone marrow biopsy findings, the study seeks to enhance the understanding of thrombocytopenia’s pathophysiological mechanisms and improve diagnostic accuracy. Methodology: This cross sectional analytical study was done in tertiary care hospitals of Peshawar from 1st January 2022 to June 2024. Cases of both the genders and all ages, when referred to the hematology section for workup of a thrombocytopenia were included. Bone marrow biopsies were taken to find the causes of low platelet counts. If any of the platelet index was missing, that case was excluded. Platelet indices were compared in all different cases of thrombocytopenia and with normal control groups. Quantitative variables were analyzed by mean, standard deviation and independent sample t-test or Mann Whitney test. Frequency and percentages were used for the qualitative data. Results: One hundred thirty-four cases with low platelet count were analyzed. Mean age of the study population was 29.3±26, with a range of one year to 105 years, with eighty-seven (64%) males and forty-seven (36%) females. Platelet distribution width, Mean Platelet Volume and Platelet Large Cell Ratio were comparatively low in hypo productive thrombocytopenia group as compared to hyper destructive one (13±1.7 versus 14.5±3, 9.3±1.7 versus 9.4±1.9 and 24.7±8.1 versus 25.6±9.6 respectively). Conclusion: Platelet indices were comparatively lower in cases of hypo productive thrombocytopenia as compared to hyper destructive cases. Thus, comparative study of platelet indices between these two groups of thrombocytopenia gives an idea of the underlying cause.

Keywords: Thrombocytopenia, Platelet Indices, Platelet Distribution Width, Mean Platelet Volume, Platelet Large Cell Ratio, Bone Marrow Biopsy, Hypo-Productive Thrombocytopenia, Hyper-Destructive Thrombocytopenia, Hematological Disorders.

INTRODUCTION

Platelets are the disc shaped non nucleated element of the blood. These are produced in the bone marrow by shedding of the parts of cytoplasm from the megakaryocytes. They then enter the circulation where they remain in the blood for a duration of ten to twelve days [1]. The main role of the platelets in the body is to prevent the bleeding at the site of endothelial damage in the blood vessels [2]. When the endothelium of the blood vessel is broken, the platelets get adhered to the site of break. This is then followed by accumulation of more and more platelets at the same site to form a hemostatic plug [3]. This whole process is known as hemostasis.

In a healthy person, the normal platelet counts ranges from 150000 to 450000/mm. If the platelet count is below this limit, the condition is known as thrombocytopenia [4]. The condition commonly presents as petechiae and bruises on skin and the mucosal surfaces of the body. Sometimes, there is frank bleeding in the form of epistaxis, malena, hemoptysis and menorrhagia that leads to development of iron deficiency anemia.

For a clinician, it is necessary to know the underlying cause of the bleeding and low platelet count. It is important because the treatment in each case is different from the other. Broadly, a low platelet count may be divided into whether it is due to excessive destruction in circulation or because of decreased formation of platelets [5]. The low platelet count that is because of increased platelet destruction in the circulation is known as hyper destructive thrombocytopenia in literature. Whereas the decreased platelet count because of low production in the bone marrow is called hypo productive thrombocytopenia. Drug induced thrombocytopenia and immune thrombocytopenia purpura (ITP) are examples of hyperdestructive thrombocytopenia [6]. Leukemias, malnutrition, megaloblastic anemia and aplastic anemia are the cause of hypo-productive thrombocytopenias [6].

In clinical setup, the work up usually done includes a clinical history, clinical examination of the patient, doing a complete blood count and bone marrow biopsy [7]. The bone marrow biopsy procedure is an invasive one, and if the platelet count is too low, the bone marrow biopsy is better avoided because there is increased chances of bleeding from the site of aspiration. Also, the bone marrow report takes time and is available after a period of 3- 5 days. So the patient has to wait for the report and thus specific treatment cannot be given till then. The literature suggests that help can be taken from platelet indices in such cases to find the underlying cause of thrombocytopenia [8].

The platelet indices are the parameters which give information about size of the platelets and the variation in size between them. These indices are easily obtained through hematology analyses. The platelet indices include plateletcrit (PCT), mean platelet volume (MPV), platelet distribution width (PDW) and platelet large cell ratio (P-LCR) [9]. The plateletcrit indicates about the total mass of platelets in the blood. Normal value of PCT is 0.2%-0.36%. The MPV tells about the size of the platelets and PDW gives information about the difference between size of platelets. The normal value of MPV is 7.5-11.5 femtoliter. The normal range of PDW is 10%-17.9%. Researchers believe that it will be better if every laboratory finds its own reference values of these platelet indices in their population rather than using already defined values [9]. Generally, the value of these indices increase in hyperdestructive thrombocytopenia and vice versa. It is significant to note that the values of MPV and PDW change if the blood is allowed to stand in an EDTA tube for more than one day. Therefore, the platelet indices should be calculated within one hour of collection of blood samples to avoid falsely raised values of these parameters.

Literature suggests that the platelet indices are very useful to tell whether thrombocytopenia is due to excessive destruction of platelets or because of decreased formation of the platelets [10]. Thus, it gives us a hint about the cause of thrombocytopenia. As these platelet indices are easily available on routine blood count, these can be used as a quick and cheap tool to predict the cause of thrombocytopenia [11].

Therefore, this study was conducted to find the changes in the platelet indices in cases presenting with thrombocytopenias. This will help in determining whether the changes in these indices follow a particular pattern and thus highlight the significance of these indices.

MATERIALS AND METHODS

This Cross Sectional analytical study was done in tertiary care hospital of Peshawar from 1st January 2022 to June 2024 during a total of two and half year duration. The platelet count was done by Sysmex Hematology analyser. Non probability purposive sampling technique was used. About 140 cases were referred to the hematology section for workup of thrombocytopenia with a platelet count of below 150 x109/L of both genders and all ages. The data of patients was anonymized and ethical approval was obtained from the ethical review board of the institute.

2 m L blood was collected in an EDTA tube and a bone marrow aspirate sample was taken. The blood sample of these cases was run in a hematology analyser within one hour of sample collection. Blood smear was prepared and examined by a consultant hematologist for visual confirmation of low platelet count. Cases where there were platelet clumps in the tail of blood smears were excluded. Also, the cases whose platelet indices were not given by the hematology analyzer were excluded. Bone marrow biopsy was done in all the cases to know the diagnoses in all of the included cases. Six cases were excluded and so the remaining 134 cases were included. The cases were divided into whether thrombocytopenia was due to excessive peripheral destruction of the platelets or due to decreased production from the bone marrow. In the earlier case, the bone marrow megakaryocytes are increased and the platelet count is low. In the latter case, there is a decreased number of megakaryocytes and bone marrow is either occupied with malignant cells or is aplastic. Cases of leukemia, megaloblastic anemia and aplastic anemia were included in the “Hypo productive” group. Cases of immune thrombocytopenia purpura were put into the “hyper destructive” group. The platelet indices like MPV, PDW and P-LCR of these two groups were compared to each other and then to the indices of about 50 normal subjects taken as the control whose platelet count was normal.

Data was analyzed using SPSS 16. The normality of the data was assessed visually by seeing histograms of the data, and also by Shapiro Wilk test. Quantitative variables were analyzed by mean, standard deviation, and t test. Qualitative data was presented by using frequency and percentages. The difference between values of platelet indices in the groups was analyzed by using an independent sample t-test in case of parametric data and Mann Whitney U test in case of non-parametric data. A p value of less than 0.05 was statistically significant. Stratification of each variable in each group was done into whether the indices were increased, decreased or normal for that group and shown in the bar chart. Bar charts were made in Excel 2013 Box plots were used to show the pattern of changes in platelet indices together in three groups.

RESULTS

About 134 cases of thrombocytopenia were included in the study. About 90 cases were of hypo productive thrombocytopenia and 44 cases were of hyper destructive thrombocytopenia. Age of the study sample is given in table 1. The mean values of the platelet indices in different groups is shown in table 2. The pattern of variables in three groups is shown in figure 1. Statistical significance of the difference between variables is shown in table 3.

Table 1. Age distribution in three groups of the study sample

Age (years)

Range

Mean ±SD

Control group

7-85

33±16

Hypo productive thrombocytopenia group

1-105

31±23

Hyperdestructive thrombocytopenia group

1-76

25±22

Table 2. Values of platelet indices in study sample

 

 

Variables

Platelet count

(x103/L)

PDW

(femto litre)

MPV

(femto litre)

P-LCR

(%)

PCT

(%)

Range

Mean ±SD

Range

Mean ±SD

Range

Mean ±SD

Range

Mean ±SD

Range

Mean ±SD

Control group

150-441

283±72.7

9.7-21

12.9±2

8.5-12

10.3±0.98

13.3-42.1

27±6.8

0.16-0.43

0.29±0.06

Hypo productive thrombocytopenia group (n=90)

4-149

61±34

5-25

13±1.7

6.3-20

9.3±1.7

2.5-43

24.7±8.1

.01-.16

.06±.03

Hyperdestructive thrombocytopenia group (n=44)

15-136

72±34

10-22

14.5±3

6-16.9

9.4±1.9

1.4-50

25.6±9.6

.01-.14

.07±.04

PDW=Platelet distribution width, MPV=Mean platelet volume, P-LCR=Platelet large cell ratio, PCT=plateletcrit

The figure 1 shows Changes in PDW in cases of thrombocytopenia. The hypo productive thrombocytopenia patients were ninety and the pattern of PDW have been shown in figure 1, hyperdestructive thrombocytopenia patients were 44 and the pattern of platelets distribution width have been shown in Figure 1.

Figure 1. Changes in PDW in cases of thrombocytopenia.

Figure 2 shows changes in mean plasma volume MPV in cases of thrombocytopenia have been shown in figure 2. The sample size of hypo-productive thrombocytopenia was 90 and hyperdestructive thrombocytopenia patients were 44 and their pattern of MPV has been shown in figure 2. In Figure 3, the changes in platelets' large cell ratio in cases of thrombocytopenia have been shown in hypo-productive thrombocytopenia and hyperdestructive thrombocytopenia patients. In Figure 4, changes in plateletcrit in cases of thrombocytopenia have been shown respectively.

Figure 2. Changes in MPV in cases of thrombocytopenia.

Figure 3. Changes in P-LCR in cases of thrombocytopenia.

Figure 4. Changes in PCT or plateletcrit in cases of thrombocytopenia.

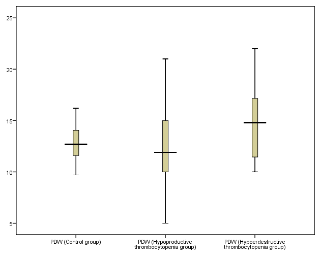
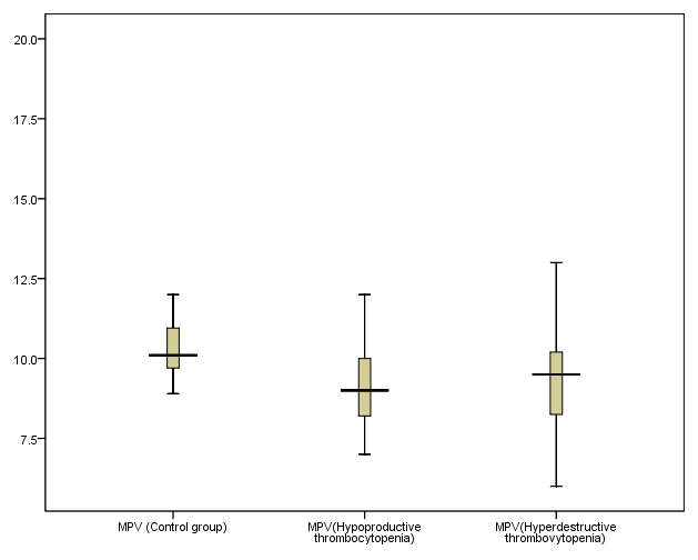
In figure 5a the box plot is showing Box plot showing distribution of PDW, 5b showing distribution of MPV and 5c showing distribution of P-LCR.

Figure 5(a). Box plot showing distribution of PDW.

Figure 5(b). Box plot showing distribution of MPV.

Figure 5(c). Box plot showing distribution of P-LCR.

In Table no. 3 There is Comparison of platelet indices in control and hypo-productive thrombocytopenia groups, data was analyzed on independent sample T test and Mann Whitney-U test, table no. 4 showing Comparison of platelet indices in control and hyperdestructive thrombocytopenia groups. Table no. 5 showing Comparison of platelet indices in hypoproductive and hyperdestructive thrombocytopenia groups.

Table 3. Comparison of platelet indices in control and hypoproductive thrombocytopenia groups

Platelet Indices

Control group

Hypo productive thrombocytopenia group

P value

PDW (femto litre)

Mean ±SD

12.9±2

13±1.7

.975**

MPV (femto litre)

Mean ±SD

10.3±0.98

9.3±1.7

<.001**

P-LCR (%)

Mean ±SD

27±6.8

24.7±8.1

.065*

 *independent sample t test

**Mann Whitney-U test.

Confidence interval 95%

Table 4. Comparison of platelet indices in control and hyperdestructive thrombocytopenia groups

Platelet Indices

Control group

Hyperdestructive thrombocytopenia group

P value

PDW (femto litre)

Mean ±SD

12.9±2

14.5±3

.019**

MPV (femto litre)

Mean ±SD

10.3±0.98

9.4±1.9

.054*

P-LCR (%)

Mean ±SD

27±6.8

25.6±9.6

.045*

 *independent sample t test

**Mann Whitney-U test.

Confidence interval 95%

Table 5. Comparison of platelet indices in hypoproductive and hyperdestructive thrombocytopenia groups

Platelet Indices

Hypoproductive thrombocytopenia group

Hyperdestructive thrombocytopenia group

P value

PDW (femto litre)

Mean ±SD

13±1.7

14.5±3

.038*

MPV (femto litre)

Mean ±SD

9.3±1.7

9.4±1.9

.649**

P-LCR (%)

Mean ±SD

24.7±8.1

25.6±9.6

.634*

*independent sample t test

**Mann Whitney-U test.

Confidence interval 95%

DISCUSSION

A low platelet count can be due to a number of causes. These can be broadly divided into either due to abnormally increased platelet destruction in the circulation or due to problems in the synthesis in the bone marrow. Although bone marrow aspiration and biopsy is mandatory for making the final diagnosis of the thrombocytopenia. Yet, the literature suggests that the platelet indices can be helpful in determining the underlying mechanism, and thus the cause of thrombocytopenia. But, still the researchers are still not clear about the clear cut pattern of these indices in different cases of thrombocytopenia [12].

In the present study, we analyzed that the MPV, PDW and PDW was decreased in cases of hypo-productive thrombocytopenia as compared to hyper destructive groups, and vice versa. As far as comparison with control was considered, the PDW was higher in both the groups as compared to controls, however, was statistically significant only in hyperdestructive cases as compared to the controls. MPV was lower in hypo productive cases in comparison to the control group and it was statistically significant (p value <0.05). Similar findings were reported by Baig MA in 2015, that the values of MPV, PDW and PLCR were higher in cases of hyperdestructive thrombocytopenias as compared to hypo productive thrombocytopenia. In another study done by Lee from Korea in 2019, it was reported that the MPV and PDW are higher than normal controls in cases of hyperdestructive thrombocytopenia [12]. Another study from India reported similar findings [13]. Chandra H suggested that MPV has a role in determining the underlying mechanism of thrombocytopenia. Elsewefy D A also suggested that the platelet indices like MPV is higher in hyper destructive thrombocytopenia [14]. Same data is presented by Katty TV, Bowles, Lee WS, Briggs C, Farias and Brummitt P in their studies. Kamal M in 2018 reported that the MPV and PDW were higher in cases of hyper destructive thrombocytopenias as compared to normal individuals [15]. Similar data was reported by Islam S from Dhaka in 2016 [16].

If the MPV is increased, it means that the megakaryocytes are forming bigger platelets, and a high PDW shows that platelets are of different sizes. Knowing whether thrombocytopenia is due to excessive peripheral destruction or due to decreased production is necessary for the clinicians [17]. Although these platelet indices give hints about the underlying cause of low platelet count, yet the bone marrow examination is necessary to make the final diagnosis.

Treatment of thrombocytopenia depends on the cause and severity:

  1. Mild/Asymptomatic: Monitor platelet count and address underlying cause.
  2. Drug-Induced: Discontinue the offending medication.
  3. Immune Thrombocytopenia (ITP): First-line—corticosteroids, IVIG; second-line—rituximab, thrombopoietin receptor agonists, or splenectomy.
  4. Thrombotic Thrombocytopenic Purpura (TTP): Plasma exchange, corticosteroids, rituximab.
  5. Heparin-Induced Thrombocytopenia (HIT): Stop heparin, initiate non-heparin anticoagulation (e.g., argatroban).
  6. Bone Marrow Failure (e.g., aplastic anemia, MDS): Immunosuppressive therapy, bone marrow transplant.
  7. Severe Bleeding or Platelet Count <10,000/µL: Platelet transfusion.
  8. Infection-Related: Treat infection, supportive care.

LIMITATIONS

The study was done in a single health care facility and hence the results may not be truly representing the data of population. Also, we did not study indices in each patient individually to assess whether they are useful in clinical practice or not when each patient is considered individually without comparison with control.

RECOMMENDATIONS

Bigger studies should be done including samples from different hospitals to generate bigger data. Also, we recommend that study should be done to assess how reliable these indices are in clinical practice on an individual basis, where comparison between hypo productive and hyper destructive groups cannot be made. Further studies are awaited to devise new platelet indices whose cut off values may be used in individual patients to give ideas about the cause of thrombocytopenia.

CONCLUSION

Comparative study of platelet indices in cases of thrombocytopenia gives idea of underlying cause as PDW, MPV and P-LCR were comparatively lower in cases of hypo-productive thrombocytopenia as compared to hyper destructive cases.

These indices are helpful only when hypoproductive and hyper destructive cases are studied in comparison with each other. These indices may not be helpful when studied on an individual basis without comparison to the control group, because in both the groups, the indices are reduced as compared to the controls. We need standardized cut off values of these indices that can be used without comparing to control groups or between the two mentioned groups. So, we assume that studying these indices in individual patients may not be useful to make accurate underlying differentials and thus, these indices should not be relied upon wholly solely and bone marrow biopsy should be done anyways to make final diagnosis.

ACKNOWLEDGEMENTS

All glories be to Almighty Allah for bestowing knowledge upon me and helping me complete the research work.

CONFLICT OF INTEREST

The authors declare that there is no conflict of interests.

AUTHORS CONTRIBUTIONS

WSK, S.U.R, A.D, F.U.H, D.K: conceptualization and writing – original draft;

R.R, M.H, U.S, A.D, E.S., and S.K: writing – original draft;

Z.A, N.A, U.S: supervision and writing – review and editing.

SOURCE OF FUNDING

Nil.

REFERENCES

  1. Vinholt PJ, Hvas AM, Nybo M. (2014). An overview of platelet indices and methods for evaluating platelet function in thrombocytopenic patients. Eur J Haematol. 92(5):367-376.
  2. Baig MA. (2015). Platelet indices: evaluation of their diagnostic role in pediatric thrombocytopenias (one year study). Int J Res Med Sci. 3(9):2284-2289.
  3. Aponte-Barrios NH, Linares-Ballesteros A, Sarmiento-Urbina IC, Uribe-Botero GI. (2014). Evaluation of the diagnostic performance of platelet-derived indices for the differential diagnosis of thrombocytopenia in pediatrics. Revista de la Facultad de Medicina. 62(4):547-552.
  4. Al-Musawi ZM, Al-Kabi MA. (2017). The Utility of Platelet Indices in Differentiating between Hyper-productive and Hypo-productive Thrombocytopenia in Children. Karbala Journal of Medicine. 10(1):2650-2655.
  5. Kamal M, Gendy W, Salama A. (2018). Platelet indices as a diagnostic tool in pediatric immune thrombocytopenic purpura. Alexandria Journal of Pediatrics. 31:128.
  6. Katti TV, Mhetre SC, Annigeri C. (2014). How far are the platelet indices mirror image of mechanism of thrombocytopenia-mystery still remains. Int J Adv Med. 1(3):200.
  7. Chandra H, Chandra S, Rawat A, Verma S. (2010). Role of mean platelet volume as discriminating guide for bone marrow disease in patients with thrombocytopenia. Int J Lab Hematol. 32(5):498-505.
  8. Elsewefy D, Farweez B, Ibrahim R. (2014). Platelet indices: consideration in thrombocytopenia. The Egyptian Journal of Haematology. 39(3):134.
  9. Islam S, Islam M, Ahmed M, Aziz M, Begum M. (2016). Role of mean platelet volume (MPV), platelet distribution width (PDW), and platelet large cell ratio (P-LCR) value in the diagnosis of immune thrombocytopenic Purpura. Hematol Transfus Int J. 2(2):31-36.
  10. Giovanetti TV, Nascimento AJd, Paula JPd. (2011). Platelet indices: laboratory and clinical applications. Rev Bras Hematol Hemoter. 33(2):164-165.
  11. Ntaios G, Papadopoulos A, Chatzinikolaou A, Saouli Z, Karalazou P, Kaiafa G, et al. (2008). Increased values of mean platelet volume and platelet size deviation width may provide a safe positive diagnosis of idiopathic thrombocytopenic purpura. Acta haematologica. 119(3):173-177.
  12. Lee E, Kim M, Jeon K, Lee J, Lee J-S, Kim H-S, et al. (2019). Mean Platelet Volume, Platelet Distribution Width, and Platelet Count, in Connection with Immune Thrombocytopenic Purpura and Essential Thrombocytopenia. Laboratory Medicine. 50(3):279-285.
  13. Khairkar PS, More S, Pandey A, Pandey M. (2016). Role of mean platelet volume (MPV) in diagnosing categories of thrombocytopenia. Ind Jour of Path and Onco. 3(4):606-610.
  14. Bowles KM, Cooke LJ, Richards EM, Baglin TP. (2005). Platelet size has diagnostic predictive value in patients with thrombocytopenia. Clinical and laboratory haematology. 27(6):370-373.
  15. Lee WS, Kim TY. (2010). Mean platelet volume and platelet distribution width are useful in the differential diagnosis of aplastic anemia and idiopathic thrombocytopenic purpura. Clinical chemistry and laboratory medicine. 48(11):1675-1676.
  16. Briggs C, Harrison P, Machin SJ. (2007). Continuing developments with the automated platelet count. International journal of laboratory hematology. 29(2):77-91.
  17. Farias MG, Schunck EG, Dal Bo S, de Castro SM. (2010). Definition of reference ranges for the platelet distribution width (PDW): a local need. Clinical chemistry and laboratory medicine. 48(2):255-257.

Creative Commons License

© 2015 Mathews Open Access Journals. All Rights Reserved.

Open Access by Mathews Open Access Journals is licensed under a
Creative Commons Attribution 4.0 International License.
Based On a Work at Mathewsopenaccess.com