Mathews Journal of Pharmaceutical Science

2474-753X

Previous Issues Volume 9, Issue 3 - 2025

The Micro-Reactor: An Opportunity for Re-Evaluation of the Azido Group (N3) in the Syntheses of Nitrogen-Based Drug Products

Ferruccio Trifirò1,#, Paolo Zanirato2,*

1Professor Emeritus, University of Bologna, Italy

2Associate Professor, University of Bologna, Italy

*Corresponding author: Dr. Paolo Zanirato, Associate Professor, University of Bologna, Viale Risorgimento 4, 40136 Bologna, Italy, Phone: +39 3391051242, E-mail: [email protected]

#Co-corresponding author: Dr. Ferruccio Trifirò, Professor Emeritus, University of Bologna, Via Zamboni 31, Bologna, Italy, Phone: +39 3207987039, E-mail: [email protected]

Received Date: May 12, 2025

Published Date: May 30, 2025

Citation: Trifirò F, et al. (2025). The Micro-Reactor: An Opportunity for Re-Evaluation of the Azido Group (N3) in the Syntheses of Nitrogen-Based Drug Products. Mathews J Pharma Sci. 9(3):51.

Copyrights: Trifirò F, et al. © (2025).

ABSTRACT

The synthesis of organic azides and their synthetic utility at the chemical laboratory scale raise an ethical and professional issue as potential highly energetic substances (HEDM). Among the new experimental methods, micro-reactor technology represents an ideal system for the safe and large-scale synthesis of potentially explosive substances, such as organic azides. This technology has opened opportunities for green and sustainable chemical synthesis, for example with the utilization of micro-reactors for intensifying catalytic biomass conversion. This provides a concise overview on green process intensification in micro-reactors for the synthesis of value-added chemicals and fuels from biomass. From the synthetic point of view, organic azides are known as versatile precursors of reactive species - nitrenes and nitrenium ions - as well as numerous highly nitrogenous compounds such as aziridines, azirines, triazoles, triazolines, tetrazoles and substances due to the transformation of the azido group into other functional groups such as triazenes, aza-ylides, isocyanates, amines. This versatility of the organic azides has been widely used in the search for new drugs over the last thirty years within the concept of ‘Click Chemistry’ (1995-2025).

Keywords: Organic Azides, Click Reaction, Micro-Reactor, Nitrogen Pharmacological Active Substances, Triazole, Triazolium, Anticancer, Antibacterial, Anti-Inflammatory.

INTRODUCTION

More than a century and a half after the discovery of phenyl azide (Peter Grieß, 1864) numerous synthetic methods for the preparation of organic azides are reported in the literature, but no natural product containing the azido group (-N3) is known [1-4]. In the last thirty years, enormous progress has been made in the synthesis of new organic azides, due to the easy accessibility by different synthetic methods and also stimulated by important discoveries such as azidothymidine (AZT), the first antiviral drug effectively used in HIV therapy [5].

Recently the ‘Click Chemistry’ concept introduced by Barry Sharpless [6] in the preparation of 1,2,3-triazoles by the reaction of azides with olefins-catalyzed with copper salts, has led to a renewed interest in the synthesis of new azides. At the same time, in parallel with the preparation of aromatic azides (Ar), there has been a growing interest in the synthesis of heteroaryl (Et) and heteroaroyl (EtC=O) azides and in their use as starting material for transformation into other functional groups, reactive species, and - by ring enlargement or contraction – into new nitrogen-containing heterocycle [7]. Previous practical applications of 1,2,3-triazoles in agriculture and medicine led us, in the years 1995-2000, to an agreement with the National Cancer Institute (NCI, anticancer) and the National Institute of Allergy and Infectious Diseases (NIAID, anti-TB) for the primary and in vitro evaluation of a series of heteroaryl triazoles, some of which showed biological interaction values higher than 90% [8,9].

Currently about 1,000 publications per year are dedicated to organic azides, which find application in civil and industrial activities as propellants, explosives, in the preparation of cross-linked polymers, in the vulcanization of rubber, as reactive dyes, as blowing agents and as biological and pharmacological active substances [1-4,10,11].

From the synthetic point of view, organic azides are known as versatile precursors of reactive species - nitrenes and nitrenium ions - as well as numerous highly nitrogenous compounds such as aziridines, azirines, triazoles, triazolines, tetrazoles and substances due to the transformation of the azido group into other functional groups such as triazenes, aza-ylides, isocyanates, amines.

The chemical reactivity of the covalent azido group: depends on its ground-state electronic structure, characterized by three nitrogen atoms linearly linked by bonding and non-bonding electron pairs. The extensive synthetic utility of this functional group is generally attributed to the weight of its energetic structure, which is a combination of the dipolar contributions to the mesomeric forms, as schematically illustrated in Figure 1.

I) Fragility: thermal dissociation to nitrene (S or T) and molecular nitrogen.

II) Flexibility: generation of !,3-allyl dipole from an allyl propargylic structure.

III) Availability: with electrophiles and nucleophiles.

Figure 1. Schematic illustration of the reactivity of organic azides (ArN3) with.

The structures (a-c) are in turn influenced - by delocalization - by the nature of the organic substrate, on which the azido group exerts an electrical inductive and resonance effect (I = 0.48, R = -0.40), close to that of the halogens chlorine (I = 0.42, R = -0.24) and bromine (I = 0.45, R = -0.22).

The azido group therefore belongs to the class of pseudohalides (-X=Y=Z; where X, Y, Z, = C, O, N, S, Se, Te), which are the anions (or functional groups) of the corresponding pseudohalogens, such as isocyanates, isothiocyanates, thiocyanates, selenocyanates, etc., but from which it differs by a tendency to have a lower chemical reactivity and a general greater structural stability.

The dipolar structures (a and b) were proposed by Linus Pauling in 1933 [12] and later confirmed with molecular models, in particular the linear structure of the allenyl propargylic type (b), explains the easy thermal and/or photochemical decomposition that leads to the generation of the singlet (S0) or triplet (T1) nitrene species and of molecular nitrogen, while the angular structure of the allyl type (c) explains the characteristic reactivity as a 1,3-dipole. The regioselectivity of reactions with nucleophiles - formation of triazenes (R-N3--Nu) - or electrophiles – formation of nitrenium ions (R-N+-E) - is explained on the basis of the mesomeric structures with attack on the 1N nitrogen of the electrophiles (E+), while the nucleophiles (Nu-) on 3N).

Therefore, the thermal decomposition (DT) of aromatic and heteroaromatic azides, under ‘controlled conditions’ and in the presence of appropriate reagents, occurs with loss of molecular nitrogen and formation of a nitrene species, which in turn can generate a large variety of products depending on the environment, the substrate, the substituents and/or the energy source (thermal, chemical or photochemical). The intermediate nitrene generated by DT can exist either in the singlet electronic state (S0) or in the triplet state (T1) and this differentiates the final products and the reaction mechanism (intramolecular rearrangement, intermolecular C-H and N-H insertion, radical coupling or cheletropic reaction) [13].

There are many promising techniques for the synthesis of organic azides, some of which are unsuitable for the synthesis of simple heteroaromatic azides, but commonly applied for the synthesis of aromatic azides: a) reaction of hydrazine derivatives and nitrous acid; b) reaction of anionic amines with sulfonyl azides; c) reaction of diazonium salts with the azido ion; d) addition of halogen azides or hydrazoic acid to olefins; e) reaction of alcohols and hydrazoic acid; f) reaction of Grignard reagents and sulfonyl azides; g) nucleophilic aromatic substitution (SNAr) of a nucleofuge with the azido ion. Aliphatic azides are easily synthesized by: a) the classical nucleophilic substitution reaction of halogens - or other leaving groups such as sulfonates, sulfites, carbonates, thiocarbonates and sulfonium salts - with the azido ion; b) from epoxides or aziridines by ring opening in the presence of the azido ion; c) alkyl azides from alkyl amines; d) from diethyl azidicarboxylate-triphenyl phosphine (Mitsunobu reaction); e) alkyl azides from a nucleophilic carbon atom and deactivated sulfonyl azides [14-20].

Acylazides - used in the Curtius rearrangement to isocyanates - are obtained: a) from a carboxylic acid, sodium azide and ethyl chloroformate via a mixed anhydride; b) directly from acid chlorides, anhydrides and direct conversion of carboxylic acids; c) direct conversion of an aldehyde; d) reaction of acylhydrazines.

Typically, all these reactions are carried out on a chemical laboratory scale in order to produce final azides with optimized yields, ranging from 70 to 90%, and the least number of by-products. In five-membered heterocyclic systems, where nitrogen-functionalized examples are limited, the ‘azido transfer’ reaction between tosyl azide and an organometallic derivative represents an alternative-and/or complementary method to the nucleophilic aromatic substitution (SNAr) reaction in which the regioselectivity between the 2- and 3-positions of the pentatomical ring is ensured by the protonelithium and halogen-lithium exchange reactions, respectively.

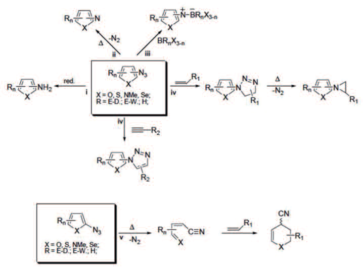
The extension of the Peter Smith protocol [21] – originally applied to aromatic Grignard reagents - to organic lithium derivatives in pentatomical hetero-aromatic systems has produced a remarkable amount of new heteroaryl azides. The reaction mechanism involves the formation of a lithium salt of a heteroaryltriazene (Et-N3-SO2To- Li+), whose fragmentation in a buffered aqueous solution of PYROFOS (Na4P2O7), leads to the final azide and lithium-tosylate. The heteroaryl azides obtained are poorly stable when the azido group is placed in the -α position to a heteroatom, while in the -β position they show stability comparable to that of aryl azides. The asymmetry of the heteroaryl ring (Et) multiplies the number of final products that can be obtained, each with its own structural and chemical characteristics, while the functionalization with electron-donating (ED) or withdrawing (EW) substituents in turn, can give rise to specific reactions in ‘controlled conditions’ as illustrated in Figure 2.

Figure 2. General reactivity of heteroaryl azides. i) formation of amines by reduction of the azido group; ii) generation of nitrene by thermal dissociation of the azido group; iii) formation of nitrenium ions by chemical dissociation of the azido group with Lewis acids; iv) 1,3-dipolar cycloaddition (1,3-DC) in the presence of olefins; v) concerted ring-opening reactions with dissociation of the azido group in the 2- position.

Alternatively, lithium salts of heteroaryltriazenes can be used in the synthesis of 1,3,3-trisubstituted heteroaryltriazenes (Et-N=N-NRR’), which find applications in many fields, including tumor therapy [22].

Most chemical researchers are aware of the great synthetic importance of organic azides along with their various applications in modern chemistry, however, some azides - or their precursors and/or reagents such as sodium azide (NaN3), tosyl azide (TosN3), trimethylsilyl azide (TMSA), diphenylphosphoryl azide (DPPA), tributyltin azide (TBSnA) azidoacetic acid ethyl ester (AAE), tetrabutylammonium azide (TBAA) - are dangerous substances especially in the case where more than one azido group is present in the molecule.

Of course, it is not easy to identify exactly the threshold of explosive hazard, however, it is established that molecules fall within the safety norm in which the ratio between the number of atoms in the molecule and the number of nitrogen atoms is less than three: (C, O, S…)/N ≤3 [23].

Serious chemical laboratory accidents have been reported during handling of sodium azide (LD50rats = 27mgkg-1) - reacts in water with Brønsted acids to form toxic and explosive hydrogen azide HN3 or with halogenated solvents (CH2Cl2 and CHCl3) in dimethyl sulfoxide (DMSO) forms extremely explosive diazidomethane CH2(N3)2 and triazidomethane CH(N3)3 - as well as during vacuum distillation of TosN3 an explosion occurred attributable to the formation of the N3 ion - due to excess heat.

The azido ion -N3 reacts with heavy metals to give azides, explosive compounds sensitive to thermal, light, impact and friction stresses [24]. The sensitivity to impact of metal azides, which represents a type of mechanical stability, decreases in the following order: copper>lead, mercury>nickel>cobalt>manganese>barium> strontium>calcium>silver>thallium>zinc>lithium = non-explosive, while relative to friction sensitivity the order changes. For example, silver azide is about 10 times more sensitive to friction than lead azide.

The progress made in recent years in the study of molecular dynamics and in particular on the energetic effects that accompany a reaction (thermodynamics) and the time required for the reaction to take place (kinetics) in relation to the molecular structure, i.e. the relative stability of reagents and products, allow chemical research not only to evaluate but also to ‘predict’ chemical risk; as recent studies based on quantum mechanical calculation methods (B3LYP, HF, MP2 etc.) associated with thermal analyses carried out by differential scanning calorimetry (DSC) have demonstrated. Thermal analysis (DSC) together with the values of temperature, enthalpy and entropy of decomposition provides information on the strength and intensity of thermal decomposition reactions (DT), in fact, the shape and width of the exothermic decomposition peak represents a qualitative indicator of their reactivity and impetuosity [25].

Recent DT studies carried out with the application of molecular models and experimental thermal analyses on various aryl and heteroaryl azides, have highlighted a great structural dependence of the thermal phenomenon. The application of mass spectroscopy (EI) – together with the techniques mentioned - allowed the identification of the first fragmentation process of tosyl azide, consisting in the elimination of the N3 ion - rather than the fragmentation of the azido group.

The structural dependence of the thermal stability of a series of ortho- and para-substituted aromatic azides was obtained by means of significant parameters such as the energy profiles (enthalpy, entropy, ΔH) and the pressure variations (ΔP), the start and end temperatures of the process and the decomposition kinetics. Equally important was the identification of the nature of the extruded gases and the reaction fragments (TGAFTIR) and their characterization also from the point of view of the health risk [26]. In addition to the evaluation of the dangerousness of the precursors and of the final products, sometimes, in the case of risky chemical reactions, it is necessary to perform a process safety assessment.

It has been possible to control the conversion of a heteroaryl hydrazine derivative (I) to azide with nitrous acid (Figure 3) using an ARC (Accelerating Rate Calorimeter) reactor, which provides adiabatic calorimetric data (pressure, kinetics and temperature) in a controlled laboratory environment by modeling a large-scale reaction on a smaller one [27].

Figure 3. Diazotization reaction: treatment of the acid aqueous solution of hydrazine -1,2,4-triazolamino with two equivalents of sodium nitrite at low temperature results in elimination of the amino group, as molecular nitrogen (N2), and the transformation of the hydrazine group into an azido group, with formation of the final product 5-substituted-3-azido 1,2,4-triazole.

The recent introduction of continuous-flow synthesis in a micro-reactor is proposed in many cases as a complementary and safe technology compared to traditional laboratory or industrial-scale synthesis technologies. The small reaction volumes of the microsystem together with the high heat and mass transfer enable reaction performed with higher yields respect the conventional reactors and applied to various type of reaction [28]. The smaller volume of substances used and the accurate control of the reaction conditions make the micro-reactor an ideal system for the synthesis of potentially explosive substances such as organic azides [29-32]. The possibility of extending the continuous flow technique also to reactions involving azido derivatives - for example the reactions described in Figure 2 and the synthesis of triazoles and tetrazoles [33] substitutes for sodium azide in airbags - opens great prospects for the chemical and pharmaceutical industries in particular.

Figure 4. Typical preparation of organic azides by continuous diazotization of amine and azidation of the of the diazonium salt in a MR BAP (Buchs Azide Process, variation ISQ).

Examples are given in the synthesis of furanic platform chemicals and their derivatives from mono- and disaccharides, liquid-phase oxidation and hydrogenation of lignocellulosic biomass derivatives, and biodiesel synthesis. Finally, an outlook is provided for future research directions, including among others solid (catalyst, feed and product) handling strategies, process integration in cascades or one micro-reactor, expanding biomass transformation database, photo-catalysis and use of novel solvents in micro-flow. Some recent literatures reported the incorporation of 1,2,3-triazole ring as the cap group-linking moiety into SAHA (suberoylanilide hydroxamic acidlike). Histone deacetylase (HDAC) inhibitors are a new class of antineoplastic agents identified by their ability to reverse the malignant phenotype of transformed cells [34-44]. The structure–activity relationship of the resulting triazole-linked hydroxamates displayed a cap-group-dependent preference for either five- or six-methylene spacer groups. Chen P.C. et al. identified compounds, that were several folds more potent than SAHA. A subset of these compounds also inhibited the proliferation of DU-145 cells. Due to their anticipated resistance to intracellular peptidases, these triazole-linked HDAC inhibitors were expected to display improved in vitro activity relative to the common amide-based inhibitors. All these research confirmed that the 1,2,3-triazole ring actively participate to the interaction with the HDAC active site.

ACKNOWLEDGMENTS

None.

CONFLICTS OF INTEREST

The authors declare that there are no conflicts of interest.

REFERENCES

  1. Scriven EFV. (1984). Azides and Nitrenes: Reactivity and Utility. Academic, Orlando.
  2. Scriven EFV, Turnbull K. (1988). Chem. Rev. 88:298.
  3. Bräse S, Gil C, Knepper K, Zimmermann V. (2005). Organic azides: an exploding diversity of a unique class of compounds. Angew Chem Int Ed Engl. 44(33):5188-5240.
  4. Bräse S, Banert K. (2010). Organic Azides: Syntheses and Applications. USA: John Wiley.
  5. Fischer J, Robin Ganellin C. (2006). Analogue-based Drug Discovery. Chemistry International--Newsmagazine for IUPAC, Wiley.
  6. Kolb HC, Finn MG, Sharpless KB. (2001). Click Chemistry: Diverse Chemical Function from a Few Good Reactions. Angew Chem Int Ed Engl. 40(11):2004-2021.
  7. Zanirato P. (2009). Synthesis, reactivity, and electronic structure of multifarious, five-membered heteroaryl and heteroaroyl azides. Reviews and Accounts. 2009(1):97-128.
  8. Businelli, S. (1997). Synthesis and Structural Properties of Biheterohylic Systems Bioactives, Master's Degree Thesis, University of Bologna, Italy.
  9. Zanirato P, Businelli S, (2024). Synthesis and Antidiseas Evaluation of Some Bis-Heteroaryls (Thiophene or Selenophene) 1,2,3-triazoles C-trimethylsilylated. Mathews J Pharma Sci. 8(1):29.
  10. Zhou CH, Wang Y. (2012). Recent researches in triazole compounds as medicinal drugs. Curr Med Chem. 19(2):239-280.
  11. Nayl AA, Aly AA, Arafa WAA, Ahmed IM, Abd-Elhamid AI, El-Fakharany EM, et al. (2022). Azides in the Synthesis of Various Heterocycles. Molecules. 27(12):3716.
  12. Pauling L, Brockway LO. (1937). The adjacent charge rule and the structure of methyl azide, methyl nitrate, and fluorine nitrate. J Am Chem Soc. 59(1):13-20.
  13. Roberts JD. (1962). Notes on molecular Orbital Calculations. W.A. Benjamin Inc., New York, USA.
  14. Smith PAS. (1984). Ref. 1, Chap. 3.
  15. Fraleoni-Morgera A, Zanirato P. (2006). BF3.OEt2-promoted synthesis of acridines via N-aryl nitrenium-BF3 ions generated by dissociation of 2-oxo azidoarenes in benzene. ARKIVOC. 2006(12):111-120.
  16. Schuster GB, Platz MS. (1992). Photochemistry of phenyl azide. Adv Photochem. 17:69.
  17. Hrovat DA, et al. (1992). What Accounts for the Difference between Singlet Phenylphosphinidene and Singlet Phenylnitrene in Reactivity toward Ring Expansion? J Am Chem Soc. 114:8698.
  18. Albini A, Bettinetti A, Minoli GJ. (1999). The effect of the p-nitro group on the chemistry of phenylnitrene. A study via intramolecular trapping. J Chem Soc Perkin. 1:2803.
  19. Kvaskoff D, Bednarek P, George L, Pankajakshan S, Wentrup C. (2005). Different behavior of nitrenes and carbenes on photolysis and thermolysis: formation of azirine, ylidic cumulene, and cyclic ketenimine and the rearrangement of 6-phenanthridylcarbene to 9-phenanthrylnitrene. J Org Chem. 70(20):7947-7955.
  20. D’Auria M, Zanirato P, et al. (2009). Photochemical reactivity of 2‐azido‐1, 3‐thiazole and 2‐azido‐1, 3‐benzothiazole: a procedure for the aziridination of enol ethers. Eur J Org Chem. 932.
  21. Smith PAS, Rowe CD, Bruner LB. (1969). Azides and amines from Grignard reagents and tosyl azide. J Org Chem. 1969:34(11):3430-3433.
  22. Rouzer CA, Sabourin M, Skinner TL, Thompson EJ, Wood TO, Chmurny GN, et al. (1996). Oxidative metabolism of 1-(2-chloroethyl)-3-alkyl-3- (methylcarbamoyl)triazenes: formation of chloroacetaldehyde and relevance to biological activity. Chem Res Toxicol. 9(1):172-178.
  23. Smith PAS. (1966). The Chemistry of Open-Chain Organic Nitrogen Compounds. Vol. 2, W.A. Benjamin Inc., New York, USA. p.  211.
  24. Urben PG. (2007). Bretherick's handbook of reactive chemistry hazard. Vol. 1 and 2,7th Ed., Amsterdam, Elsevier.
  25. Cardillo P, Gigante L, Lunghi A, Fraleoni-Morgerab A, Zanirato P, et al. (2008). Hazardous N-containing system: thermochemical and computational evaluation of the intrinsic molecular reactivity of some aryl azides and diazides. New J Chem. 32(1):47.
  26. Zanirato P, Gigante L, Cardillo P. (2010). Revisiting the thermal decomposition of five ortho-substituted phenyl azides by calorimetric techniques. J Thermal Anal Calorim. 100:191.
  27. Zanirato P, Gigante L, Lunghi A, Cardillo P. (2012). The thermal decomposition of azides by calorimetric techniques. Eur J Org Chem. 145.
  28. Luisi R, Musio B, Degennaro L. (2011). Microreactor technology as tool for the development of a sustainable synthetic chemistry. La Chimica e l’Indusria. pp. 114-123.
  29. Delville MME, Nieuwland PJ, Janssen P, Koch K, Hest JCM, Rutjes FPJT. (2011). Continuous flow azide formation: Optimization and scale-up. Chem Eng J. 167:556-559.
  30. Gutmann B, Roduit JP, Roberge D, Kappe CO. (2010). Synthesis of 5-substituted 1H-tetrazoles from nitriles and hydrazoic acid by using a safe and scalable high-temperature microreactor approach. Angew Chem Int Ed Engl. 49(39):7101-7105.
  31. Brandt JC, Wirth T. (2009). Controlling hazardous chemicals in microreactors: synthesis with iodine azide. Beilstein J Org Chem. 5:30.
  32. Keicher T, Löbbecke S. (2010). Lab-scale Synthesis of Azido Compounds: Safety Measures and Analysis, Organic azides and applications. Btase S, Banert K, Eds. J Wiley. pp .2-94.
  33. Palde PB, Jamison TF. (2011). Safe and efficient tetrazole synthesis in a continuous-flow microreactor. Angew Chem Int Ed Engl. 50(15):3525-3528.
  34. Suzuki T, Kouketsu A, Itoh Y, Hisakawa S, Maeda S, Yoshida M, et al. (2006). Highly potent and selective histone deacetylase 6 inhibitors designed based on a small-molecular substrate. J Med Chem. 49(16):4809-4812.
  35. Lech-Maranda E, Robak E, Korycka A, Robak T. (2007). Depsipeptide (FK228) as a novel histone deacetylase inhibitor: mechanism of action and anticancer activity. Mini Rev Med Chem. 7(10):1062-1069.
  36. Pirali T, Pagliai F, Mercurio C, Boggio R, Canonico PL, Sorba G, et al. (2008). Triazole-modified histone deacetylase inhibitors as a rapid route to drug discovery. J Comb Chem. 10(5):624-627.
  37. Chen Y, Lopez-Sanchez M, Savoy DN, Billadeau DD, Dow GS, Kozikowski AP. (2008). A series of potent and selective, triazolylphenyl-based histone deacetylases inhibitors with activity against pancreatic cancer cells and Plasmodium falciparum. J Med Chem. 51(12):3437-3448.
  38. Chen PC, Patil V, Guerrant W, Green P, Oyelere AK. (2008). Synthesis and structure-activity relationship of histone deacetylase (HDAC) inhibitors with triazole-linked cap group. Bioorg Med Chem. 16(9):4839-4853.
  39. Marcaurelle LA, Comer E, Dandapani S, Duvall JR, Gerard B, Kesavan S, et al. (2010). An aldol-based build/couple/pair strategy for the synthesis of medium- and large-sized rings: discovery of macrocyclic histone deacetylase inhibitors. J Am Chem Soc. 132(47):16962-16976.
  40. He R, Chen Y, Chen Y, Ougolkov AV, Zhang JS, Savoy DN, et al. (2010). Synthesis and biological evaluation of triazol-4-ylphenyl-bearing histone deacetylase inhibitors as anticancer agents. J Med Chem. 53(3):1347-1356.
  41. Nahrwold M, Bogner T, Eissler S, Verma S, Sewald N. (2010). "Clicktophycin-52": a bioactive cryptophycin-52 triazole analogue. Org Lett. 12(5):1064-1067.
  42. Agalave SG, Maujan SR, Pore VS. (2011). Click chemistry: 1,2,3-triazoles as pharmacophores. Chem Asian J. 6(10):2696-2718.
  43. Zhou CH, Wang Y. (2012). Recent researches in triazole compounds as medicinal drugs. Curr Med Chem. 19(2):239-280.
  44. Agouram N, El Hadrami EM, Bentama A. (2021). 1,2,3-Triazoles as Biomimetics in Peptide Science. Molecules. 26(10):2937.

Creative Commons License

© 2015 Mathews Open Access Journals. All Rights Reserved.

Open Access by Mathews Open Access Journals is licensed under a
Creative Commons Attribution 4.0 International License.
Based On a Work at Mathewsopenaccess.com